Помогите решить задание из учебника пожалуйста
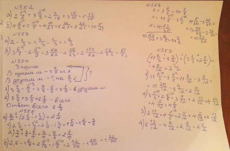
№552
Выполните сложение
а)2 1/5+3 2/3
б)4 2/3+5 4/7
№553
Выполните вычитание
а)2-1/3
б)3 6/7-2 8/9
№554
В одном мешке 3 7/9 кг яблок, в другом на 2/3 кг меньше,чем в первом .Сколько килограммов яблок в обоих мешках.
№555
Найдите значение выражения
а)3/2+(2 1/4-1 1/2)=
б)2,6-1 2/7
№556
Решите уравнение
х+3 2/5=14 1/6
№557
Выполните действие
(11 2/3- 8 3/4)+(3 1/3+2 5/6)-4 7/12
Ответы
Ответ дал:
0
552:
2 1/5+3 2/3=2 3/15+ 3 10/15=5 13/15
4 2/3+5 4/7=4 14/21+5 16/21=9 30/21=10 9/21=10 3/7
553:
2-1/3=2/3
3 6/7-2 8/9=3 54/63-2 56/63=1 54/63-56/63=117/63-56/63=61/63
554:
В 1 ящике-3 7/9 кг яблок
Во 2 ящике-?, на 2/3 кг яблок больше
Решение:
3 7/9-2/3=3 7/9-3/9=3 4/9(кг яблок) -во 2 ящике
Ответ:во 2 ящике - 3 4/9 кг яблок
555:
а) 3/2+(2 1/4- 1 1/2)=3
1)2 1/4-1 1/2=2 1/4-1 2/4=1 2/4= 1 1/2=1,5
2)3/2+1,5=1 1/2+1,5=1,5+1,5=3
б) 2,6-1 2/7=2 6/10-1 2/7= 2 42/70-1 20/70=1 22/70=11/35
556:
х+3 2/5=14 1/6
х=3 2/5+14 1/6
х=3 12/30+14 5/30
х=17 17/30
________________
Ответ:17 17/30
557:
(11 2/3-8 3/4)+(3 1/3+2 5/6)-4 7/12=4,5
1)11 2/3-8 3/4=11 8/12- 8 9/12=3 8/12-9/12=2 20/12-9/12=2 11/12
2)3 1/3+2 5/6=3 2/6+2 5/6=5 7/6=6 1/6
3)2 11/12+6 1/6=2 11/12+6 2/12=8 13/12=9 1/12
4)9 1/12-4 7/12=8 13/12-4 7/12=4 6/12= 4 1/2=4,5
2 1/5+3 2/3=2 3/15+ 3 10/15=5 13/15
4 2/3+5 4/7=4 14/21+5 16/21=9 30/21=10 9/21=10 3/7
553:
2-1/3=2/3
3 6/7-2 8/9=3 54/63-2 56/63=1 54/63-56/63=117/63-56/63=61/63
554:
В 1 ящике-3 7/9 кг яблок
Во 2 ящике-?, на 2/3 кг яблок больше
Решение:
3 7/9-2/3=3 7/9-3/9=3 4/9(кг яблок) -во 2 ящике
Ответ:во 2 ящике - 3 4/9 кг яблок
555:
а) 3/2+(2 1/4- 1 1/2)=3
1)2 1/4-1 1/2=2 1/4-1 2/4=1 2/4= 1 1/2=1,5
2)3/2+1,5=1 1/2+1,5=1,5+1,5=3
б) 2,6-1 2/7=2 6/10-1 2/7= 2 42/70-1 20/70=1 22/70=11/35
556:
х+3 2/5=14 1/6
х=3 2/5+14 1/6
х=3 12/30+14 5/30
х=17 17/30
________________
Ответ:17 17/30
557:
(11 2/3-8 3/4)+(3 1/3+2 5/6)-4 7/12=4,5
1)11 2/3-8 3/4=11 8/12- 8 9/12=3 8/12-9/12=2 20/12-9/12=2 11/12
2)3 1/3+2 5/6=3 2/6+2 5/6=5 7/6=6 1/6
3)2 11/12+6 1/6=2 11/12+6 2/12=8 13/12=9 1/12
4)9 1/12-4 7/12=8 13/12-4 7/12=4 6/12= 4 1/2=4,5
Ответ дал:
0
вот, тут все ответы. Как я считаю, ошибок нет
Приложения:

Вас заинтересует
2 года назад
2 года назад
7 лет назад
7 лет назад
9 лет назад
9 лет назад
10 лет назад