Ответы
Ответ дал:
0
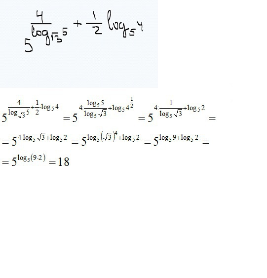
решение во вложении-------------------
Приложения:

Ответ дал:
0
рада помочь
Вас заинтересует
2 года назад
2 года назад
7 лет назад
9 лет назад
9 лет назад
10 лет назад