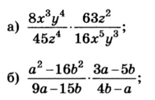
3) Выполните умножение:
а) 8x^3y^4/45z^4 * 63z^2/16x^5y^3;
б) a^2-16b^2/9a-15b * 3a-5b/4b-a.
Приложения:
Ответы
Ответ дал:
0
8х³у⁴/45z⁴ * 63z²/16x⁵y³ = x³y⁴*7z² / 5z⁴2x⁵y³ = 7y / 10z²x²
(а²-16в²)/(9а-15в) * (3а-5в)/(4в-а) = (а²-(4в)²)/(3(3а-5в)) * (3а-5в)/(4в-а) = ((а-4в)(а+4в))/(3(4в-а)) = ((а-4в)(а+4в))/(-3(а-4в)) =-(а+4в) / 3
(а²-16в²)/(9а-15в) * (3а-5в)/(4в-а) = (а²-(4в)²)/(3(3а-5в)) * (3а-5в)/(4в-а) = ((а-4в)(а+4в))/(3(4в-а)) = ((а-4в)(а+4в))/(-3(а-4в)) =-(а+4в) / 3
Вас заинтересует
3 года назад
3 года назад
7 лет назад
7 лет назад
10 лет назад