• Предмет: Алгебра
  • Автор: Manyunya000
  • Вопрос задан 3 года назад

Помогите пожалуйста решить 

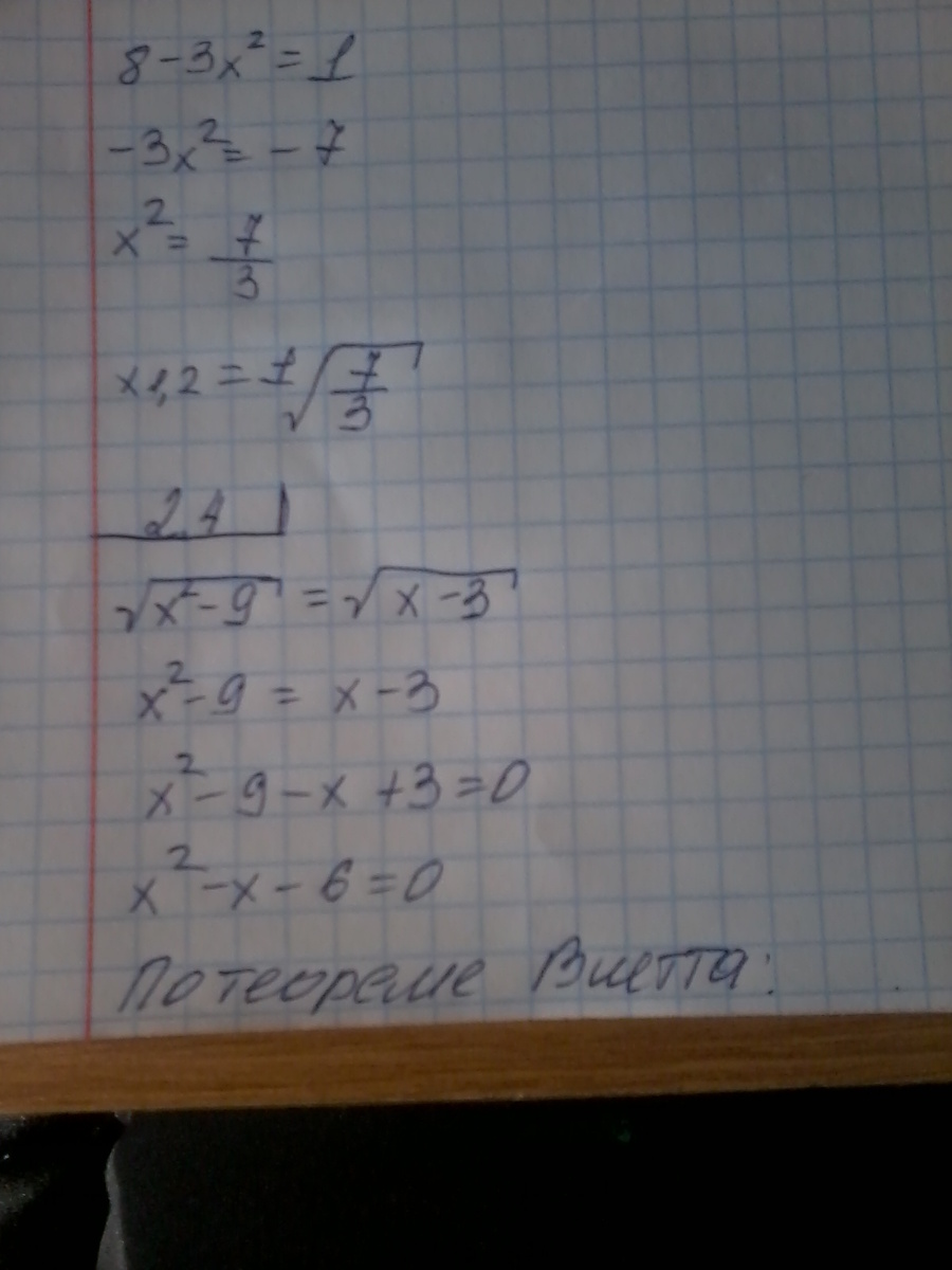
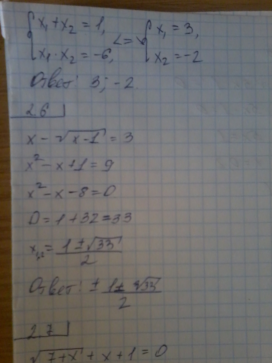
2.1      2.7    2.2    2.4    2.6    2.16    2.18    2.20

ПОЖАЛУЙСТА ОЧЕНЬ НАДО только со всеми решениями   

Приложения:

Ответы

Ответ дал: Darya08
0

Все фотки идут по порядку номеров.

2.20

√13-x - √x-3=√x

13-x-x+3=x

-2x+16=x

-2x-x=-16

-3x=-16

x=5 целых 1/3

Приложения:
Вас заинтересует