Помогите ,пожалуйста решить!Очень нужно)Номер 4(а,б,в),5(а,б,в)Распишите все ,пожалуйста)Буду очень благодарна:)
Приложения:
Ответы
Ответ дал:
0
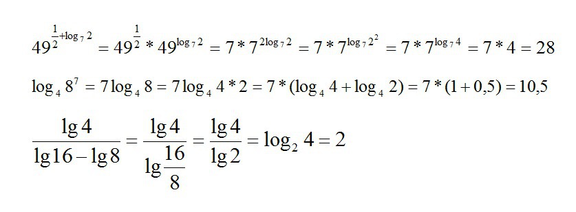
4. а)
б)
в)
вроде должно быть все понятно. по свойствам логарифмов
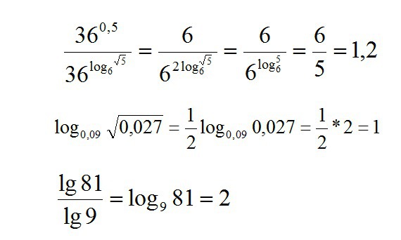
5 а)
б)
в)
б)
в)
вроде должно быть все понятно. по свойствам логарифмов
5 а)
б)
в)
Приложения:
Ответ дал:
0
А можете,5 сделать,пожалуйста?))
Ответ дал:
0
если минут 15 подождешь(
Ответ дал:
0
подожду ,конечно же
Ответ дал:
0
Спасибо огромное,вы мне очень помогли
Вас заинтересует
2 года назад
2 года назад
7 лет назад
7 лет назад
10 лет назад
10 лет назад
10 лет назад