Ответы
Ответ дал:
0
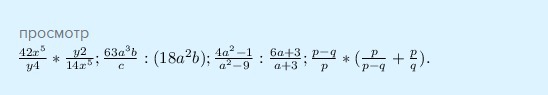
1) 42х*****/у** умножаем на у**/14х***** = 3/у** (после сокращения)
2) 63а***в/с умножаем на 1/18а**в = 7а/2с (после сокращения)
4) a) (p-q)/p умножаем на p/(p-q) = 1
b) (p-q)/p умножаем на p/q =(p-q)/q Ответ:(p-q)/q
3) (2a-1)(2a+1)/(a-3)(a+3) умножаем на (a+3)/3(a-3) = (2а-1)/3(а-3)
*****- 5-ая степень и т.д.
2) 63а***в/с умножаем на 1/18а**в = 7а/2с (после сокращения)
4) a) (p-q)/p умножаем на p/(p-q) = 1
b) (p-q)/p умножаем на p/q =(p-q)/q Ответ:(p-q)/q
3) (2a-1)(2a+1)/(a-3)(a+3) умножаем на (a+3)/3(a-3) = (2а-1)/3(а-3)
*****- 5-ая степень и т.д.
Вас заинтересует
2 года назад
2 года назад
7 лет назад
10 лет назад
10 лет назад