• Предмет: Алгебра
  • Автор: ikamila
  • Вопрос задан 9 лет назад

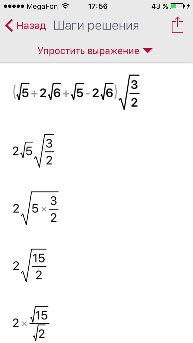
Помогите пожалуйста. (√5+2√6 +√5-2√6)*√3/2

Ответы

Ответ дал: LiДжейКаналНаЮтубе
0
Вот ответ,думаю правильный! ЕСЛИ БУДЕТ ВРЕМЯ ЗАЙДИ НА КАНАЛ LiДжей и подпишись плизз,буду очень благодарна! Задавай вопросы я отвечу! ;)
Приложения:
Вас заинтересует