• Предмет: Алгебра
  • Автор: Аноним
  • Вопрос задан 9 лет назад

Решение систем уравнений второй степени

Приложения:

Ответы

Ответ дал: miron2077
0
!!!!!!!!!!!!!!!!!!!!!!!!!!!!!!!!
Приложения:
Ответ дал: Tion
0
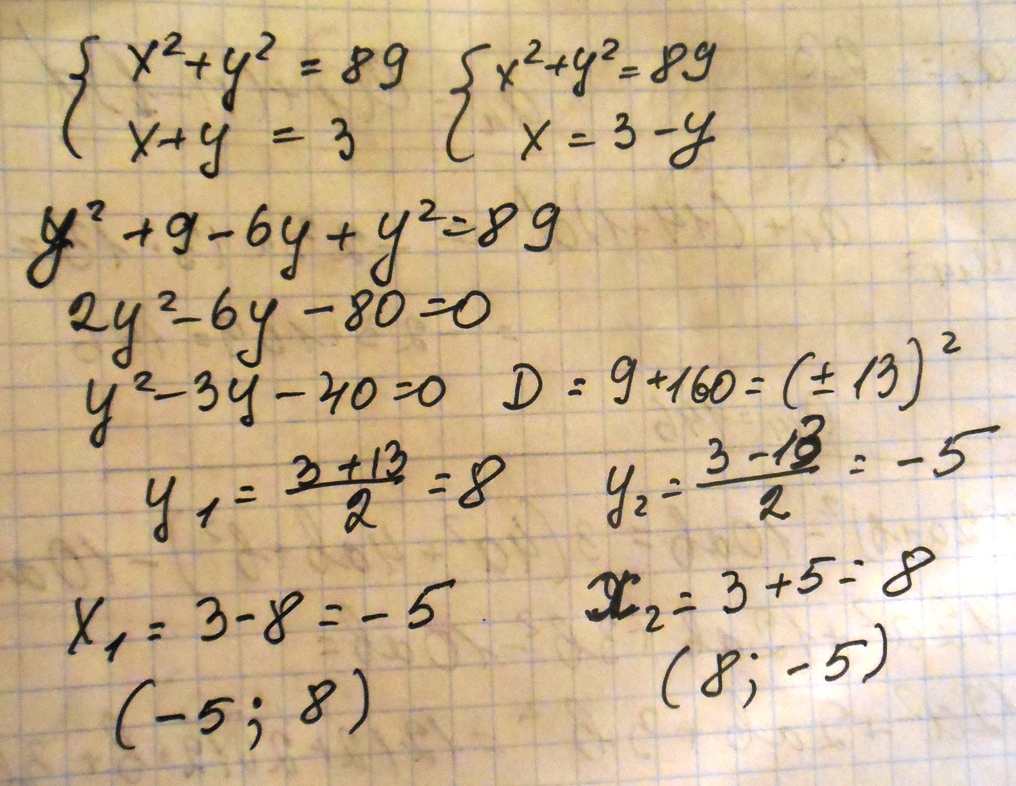
left { {x^2+y^2=89} atop {x=3-y}} right.  \ 
9-6y+y^2+y^2=89 \ 2y^2-6y-80=0  \ D=36+640=676=26^2  \ y1=-5 \  y2=8 \ x1=8 \  x2=-5
Приложения:
Вас заинтересует