Ответы
Ответ дал:
0
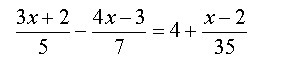
Общий знаменатель 35
7( 3х + 2 ) - 5( 4х - 3 ) = 4•35 + Х - 2
21х + 14 - 20х + 15 = 138 + Х
Х + 29 = 138 + Х
29 не равно 138
Ответ нет решений
7( 3х + 2 ) - 5( 4х - 3 ) = 4•35 + Х - 2
21х + 14 - 20х + 15 = 138 + Х
Х + 29 = 138 + Х
29 не равно 138
Ответ нет решений
Ответ дал:
0
(7(3x+2) -5(4x -3))/35 -(x-2)/35 =4
(21x +14 -20x +15 -(x -2)) /35 =4
x +29 -x +2 =4*35
31 =4*35 уравнение корней не имеет
(21x +14 -20x +15 -(x -2)) /35 =4
x +29 -x +2 =4*35
31 =4*35 уравнение корней не имеет
Вас заинтересует
3 года назад
3 года назад
7 лет назад
10 лет назад
10 лет назад
10 лет назад