Алгебра 8 класс
Задание: Выполните сложение и вычитание
"решение на картинке"
поможет дам 2 голоса вк
Приложения:

Ответы
Ответ дал:
0
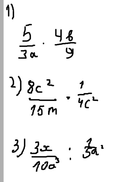
1)5/3a * 4b/9
5*4b3a*9
(5*4)b(3*9)a
20b27a
5*4b3a*9
(5*4)b(3*9)a
20b27a
Вас заинтересует
2 года назад
7 лет назад
9 лет назад