• Предмет: Математика
  • Автор: lovina03
  • Вопрос задан 9 лет назад

Помогите пожалуйста!!!!

Приложения:

Ответы

Ответ дал: ВикаВикторовна
0
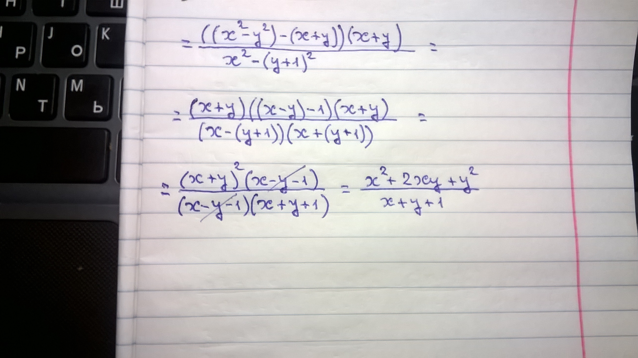
см. фото.........
продолжение д) на втором фото!
Приложения:
Вас заинтересует