уравнение реакции, с помощью которых можно осуществить превращения: fe->feS ->feCI2->fe(oh)2->fe(oh)3
Ответы
Ответ дал:
0
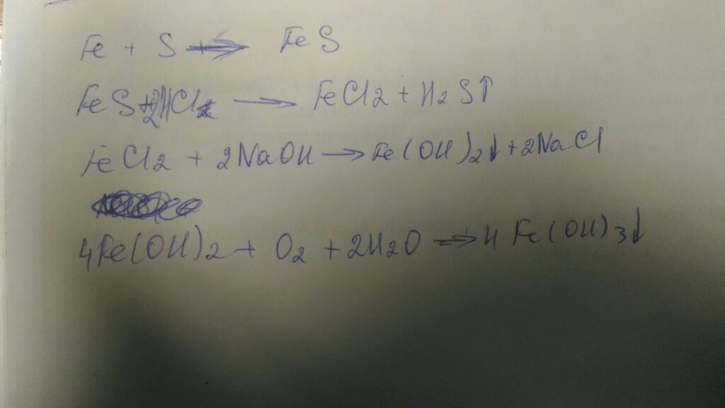
Fe + S = FeS
FeS + 2HCl = FeCl2 + H2S
FeCl2 + 2NaOH = Fe(OH)2 + 2NaCl
4Fe(OH)2 + O2 + 2H2O= 4Fe(OH)3
Ответ дал:
0
Решение находится во вложении.
Приложения:

Вас заинтересует
2 года назад
2 года назад
7 лет назад
9 лет назад
10 лет назад