Помогите пожалуйста
Найдите корни уравнения
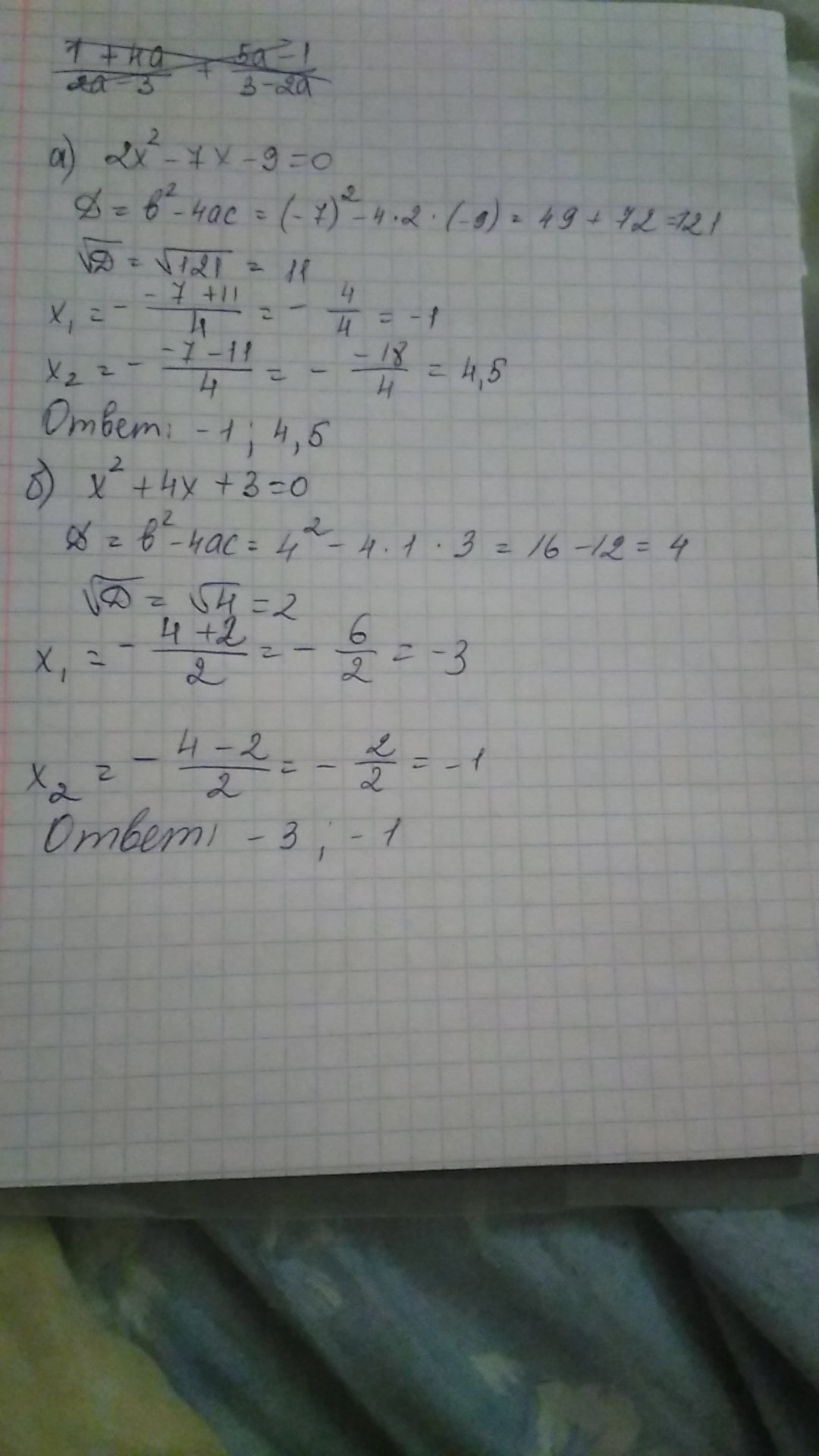
А) 2x в квадрате -7x-9=0
Б) x в квадрате +4x+3=0
Заранее спасибо))
Ответы
Ответ дал:
0
А) корни (-1; 4,5)
Б) корни (-3; -1)
Б) корни (-3; -1)
Приложения:

Вас заинтересует
2 года назад
2 года назад
7 лет назад
9 лет назад
9 лет назад
10 лет назад