• Предмет: Алгебра
  • Автор: jknijklmo
  • Вопрос задан 9 лет назад

помогите!
скорее! Очень срочно!

Приложения:

Ответы

Ответ дал: FatimaForward
0
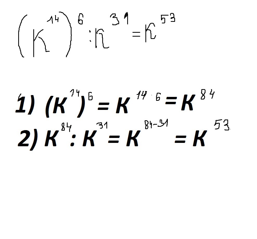
РЕШЕНИЕ СНИЗУ!
это задание со  степенями
Приложения:
Вас заинтересует