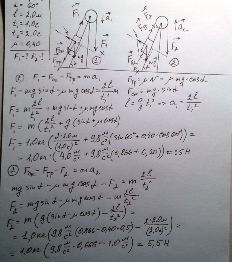
Задача 4б7 НА КАРТИНКЕ
Для того, чтобы получить баллы за эту задачу, нужно обязательно нарисовать картинку со всеми силами, действующими на тело, и обозначить проекции на оси.(ну и решить, конечно же :) )
Приложения:
Ответы
Ответ дал:
0
Решение на фотографии
Приложения:
Вас заинтересует
2 года назад
2 года назад
7 лет назад
7 лет назад
10 лет назад
10 лет назад
10 лет назад