Ответы
Ответ дал:
0
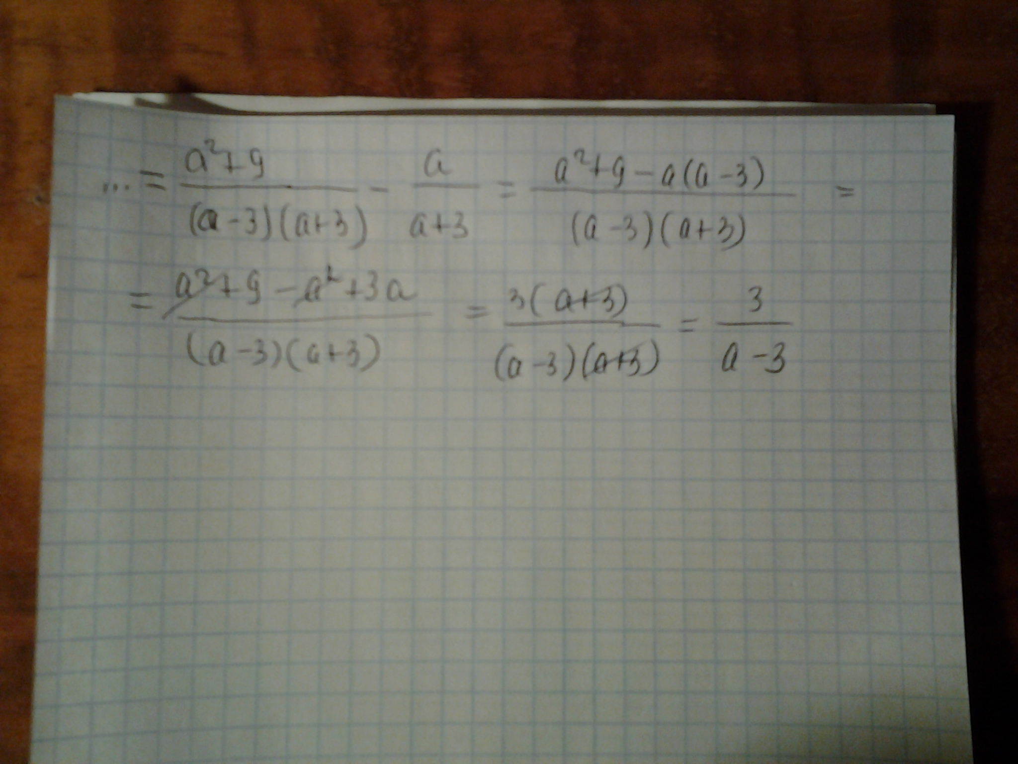
a² -9 =(a -3)(a +3) это общий знаменатель
=(a² +9 -a(a -3)) /(a -3)(a +3) =
=(a² +9 -a² +3a) /(a -3)(a +3) =
=(3a +9) /(a -3)(a +3) =
=3(a +3) /(a -3)(a +3) =
=3 /(a -3)
=(a² +9 -a(a -3)) /(a -3)(a +3) =
=(a² +9 -a² +3a) /(a -3)(a +3) =
=(3a +9) /(a -3)(a +3) =
=3(a +3) /(a -3)(a +3) =
=3 /(a -3)
Ответ дал:
0
Применены : формула разности квадратов, правила действий с алгебраическими дробями
Приложения:

Вас заинтересует
2 года назад
2 года назад
7 лет назад
9 лет назад
9 лет назад
10 лет назад