Ответы
Ответ дал:
0
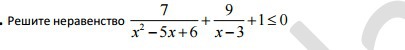
решение неравенства
Ответ: xэ(-8; 0,9)
Ответ: xэ(-8; 0,9)
Приложения:

Ответ дал:
0
СПАСибо !
Вас заинтересует
2 года назад
7 лет назад
7 лет назад
9 лет назад
9 лет назад
10 лет назад
10 лет назад