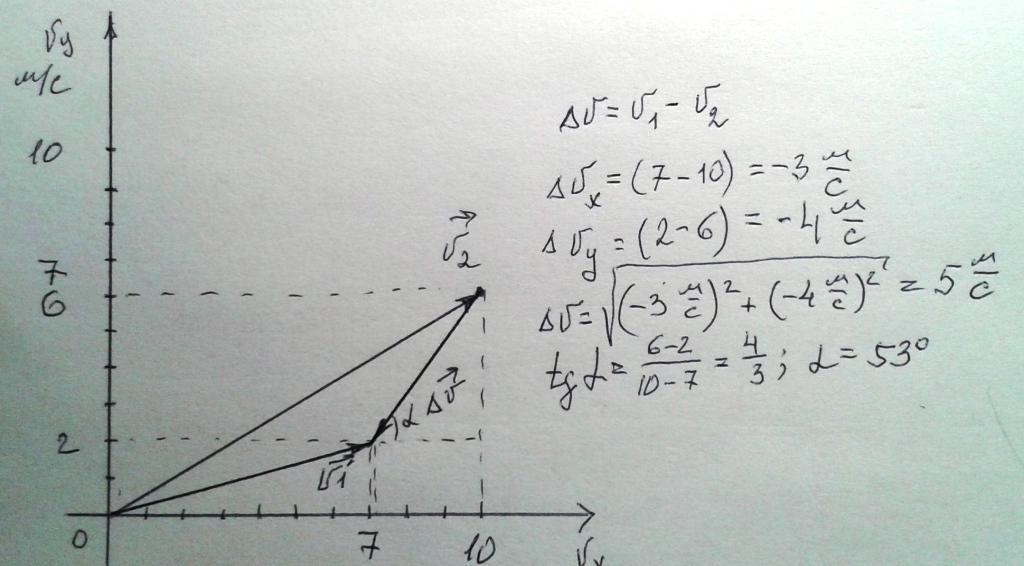
Мышка убегает от кота в соответствии с уравнениями: x1=5+7t, y1=-2+2t ; а кот догоняет мышку в соответствии с уравнениями: x2=-15+10t, y2=-4+6t. Определить скорость мышки относительно кота.
Ответы
Ответ дал:
0
vx₁ = 7 м/с
vy₁ = 2 м/с
vx₂ = 10 м/с
vy₂ = 6 м/с
Кот приближается к мышке. Сл-но мышь приближается к коту со скоростью 5 м/с, v₁' = - 5 м/с
vy₁ = 2 м/с
vx₂ = 10 м/с
vy₂ = 6 м/с
Кот приближается к мышке. Сл-но мышь приближается к коту со скоростью 5 м/с, v₁' = - 5 м/с
Приложения:

Вас заинтересует
2 года назад
2 года назад
7 лет назад
7 лет назад