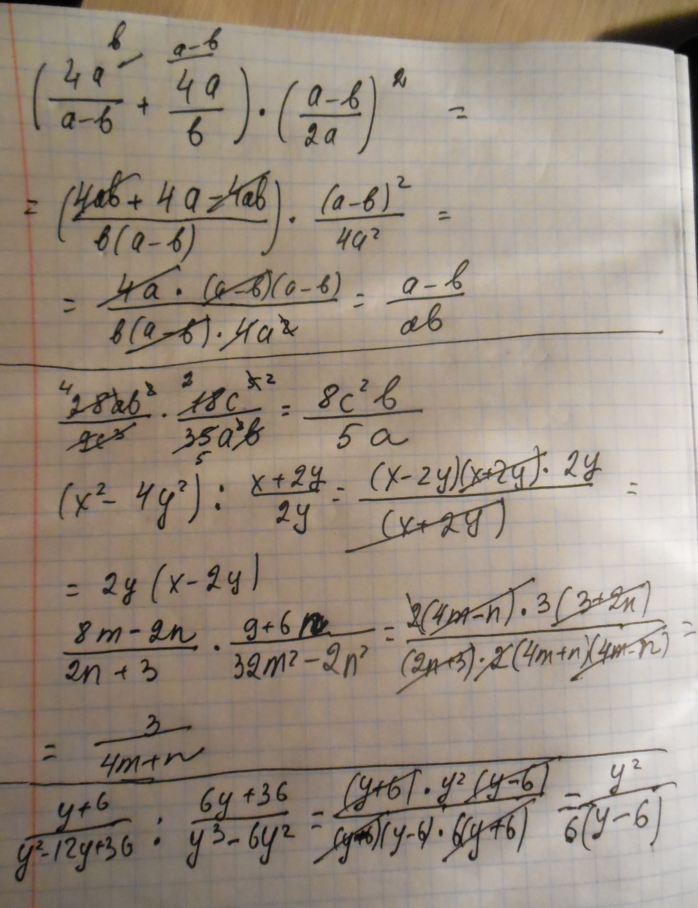
Прошу) Решите 2 номер , а если для вас не трудно , можете и 1 , я сверю со своим ответом. Спасибо)
Приложения:

Ответы
Ответ дал:
0
!!!!!!!!!!!!!!!!!!!!!!!!!!!!!!
Приложения:

Ответ дал:
0
Я просил второй номер , но всё равно спасибо
Вас заинтересует
2 года назад
2 года назад
7 лет назад
7 лет назад
9 лет назад
10 лет назад