Ответы
Ответ дал:
0
(57 - 8Х) = 3 - 2х
- 8х + 2Х =3 - 57
-6Х =- 54
Х =9
проверка: ( 57 - 8 х 9) =3 - 2 х 9
-15 =- 15
- 8х + 2Х =3 - 57
-6Х =- 54
Х =9
проверка: ( 57 - 8 х 9) =3 - 2 х 9
-15 =- 15
Ответ дал:
0
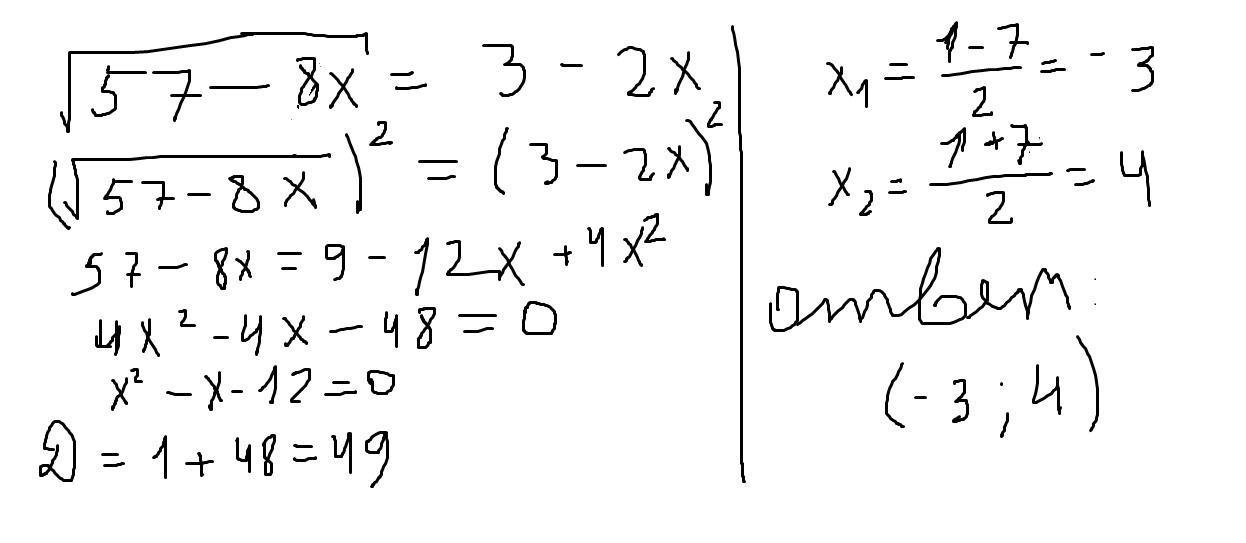
все вроде расписал, смотри прикрепленный файл
Приложения:

Вас заинтересует
7 лет назад
7 лет назад
9 лет назад
9 лет назад