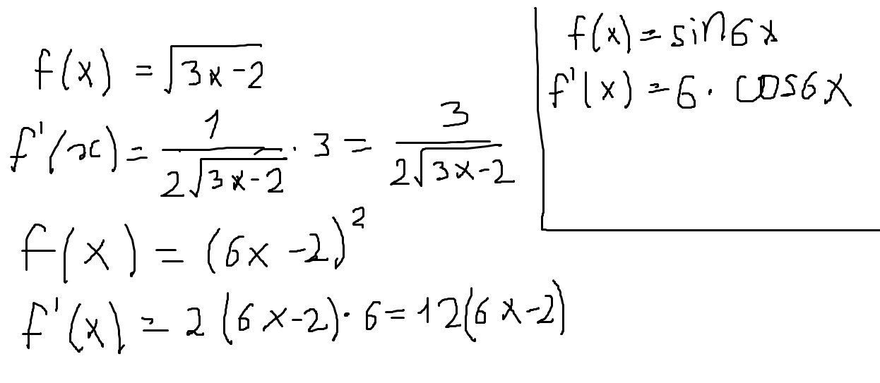
очень срочно помогите решить: нужно найти производную, 1)f(x)=корень из 3x-2
2)f(x)=(6x-2)^2, f(x)=sin6x. пожалуйста...
Ответы
Ответ дал:
0
все решение на фото...................
Приложения:

Вас заинтересует
2 года назад
2 года назад
7 лет назад
9 лет назад
10 лет назад