• Предмет: Алгебра
  • Автор: жасмин31242
  • Вопрос задан 9 лет назад

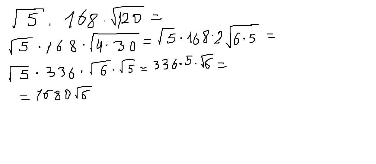
Упростите выражение √5×168×√120

Ответы

Ответ дал: nurmahanbetol
0
решение на фото......................................
Приложения:
Вас заинтересует