• Предмет: Математика
  • Автор: збагойствие
  • Вопрос задан 9 лет назад

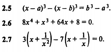
Решите пожалуйста 2.5 и 2.7!

Приложения:

Ответы

Ответ дал: PSHE
0
(x-a)^3-(x-b)^3=b^3-a^3\
x^3-3x^2a+3xa^2-a^3-x^3+3x^2b-3xb^2+b^3=b^3-a^3\
a^2x-x^2a-b^2x+x^2b=0\
x(a^2-ax)=x(b^2-bx)\
x_1=0\\
a^2-ax=b^2-bx\
a^2-b^2=x(a-b)\
x_2=a+b

Предполагается, что a neq b, в противном случае выражение тождественно верно для любого x.

А второе уравнение действительно не решается школьными методами. Путём несложных преобразований оно приводится к кубическому уравнению 4x^3+7x-3=0, не имеющему рациональных корней. Используя формулу Кардано, можно получить единственный действительный корень:
displaystyle<br />x = frac{1}{2}left(frac{sqrt[3]{27+sqrt{1758}}}{sqrt[3]{9}}-frac{7}{sqrt[3]{3(27+sqrt{1758})}}right)

Вас заинтересует