Ответы
Ответ дал:
0
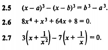
2.5
(x-a-x+b)[(x-a)²+(x-a)(x-b)+(x-b)²]=(b-a)(b²+ab+a²)
(b-a)(x²-2xa+a²+x²-xa-xb+ab+x²-2xb+b²)-(b-a)(b²+ab+a²)=0
(b-a)(x²-2xa+a²+x²-xa-xb+ab+x²-2xb+b²-b²-ab-a²)=0
(b-a)(3x²-3xa-3xb)=0
3x²-3x(a+b)=0
3x(x-(a+b))=0
x=0
x=a+b
2.7
x²+1/x²=(x+1/x)²-2
3(x+1/x)²-6-7(x+1/x)=0
x+1/x=a
3a²-7a-6=0
D=49+72=121
a1=(7-11)/6=-2/3
x+1/x=-2/3
3x²+2x+3=0,x≠0
D=4-36=-32<0 нет решения
f2=(7+11)/6=3
x+1/x=3
x²-3x+1=0,x≠0
D=9-4=5
x1=(3-√5)/2 U x2=(3+√5)/2
(x-a-x+b)[(x-a)²+(x-a)(x-b)+(x-b)²]=(b-a)(b²+ab+a²)
(b-a)(x²-2xa+a²+x²-xa-xb+ab+x²-2xb+b²)-(b-a)(b²+ab+a²)=0
(b-a)(x²-2xa+a²+x²-xa-xb+ab+x²-2xb+b²-b²-ab-a²)=0
(b-a)(3x²-3xa-3xb)=0
3x²-3x(a+b)=0
3x(x-(a+b))=0
x=0
x=a+b
2.7
x²+1/x²=(x+1/x)²-2
3(x+1/x)²-6-7(x+1/x)=0
x+1/x=a
3a²-7a-6=0
D=49+72=121
a1=(7-11)/6=-2/3
x+1/x=-2/3
3x²+2x+3=0,x≠0
D=4-36=-32<0 нет решения
f2=(7+11)/6=3
x+1/x=3
x²-3x+1=0,x≠0
D=9-4=5
x1=(3-√5)/2 U x2=(3+√5)/2
Вас заинтересует
2 года назад
2 года назад
7 лет назад
7 лет назад
10 лет назад
10 лет назад