• Предмет: Алгебра
  • Автор: Артур998
  • Вопрос задан 9 лет назад

Решите номер 25. Есть вложение.

Приложения:

Ответы

Ответ дал: Artem112
0
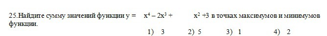
y=x^4-2x^3+x^2+3
\
y'=4x^3-6x^2+2x
\
y'=0:
\
4x^3-6x^2+2x=0
\
x(2x^3-3x+1)=0
\
x_1=0
\
2x^3-3x+1=0
\
x_2=1
\
x_3= frac{1}{2} 
\
y(0)=0^4-2cdot0^3+0^2+3=3
\
y(1)=1^4-2cdot1^3+1^2+3=1-2+1+3=3
\
y(frac{1}{2} )=(frac{1}{2} )^4-2cdot(frac{1}{2} )^3+(frac{1}{2} )^2+3=
frac{1}{16}-2cdotfrac{1}{8} +frac{1}{4} +3=
\
=frac{1}{16}-frac{1}{4} +frac{1}{4} +3=3frac{1}{16}
\
y(0)+y(1)+y( frac{1}{2} )=3+3+3 frac{1}{16} =9 frac{1}{16}
Ответ дал: Артур998
0
Какой ответ?
Вас заинтересует