Решите систему уравнение методом постановки. Подробней, пожалуйста. За подробность даю 30 баллов.
Приложения:

Ответы
Ответ дал:
0
ВОТ..............................................
Приложения:


Ответ дал:
0
{y=6x
{4x+y=150
Подставим выражение 6х во второе уравнение вместо у:
4х +6х=150
10х=150
х= 150:10
х=15
Подставим значение переменной х в первое уравнение у=6х :
у= 6*15 = 90
Проверим:
{90 = 6*15 ⇒ 90=90
{4*15 + 90 = 150 ⇒ 60 +90 = 150 ⇒ 150=150
Ответ: (15; 90).
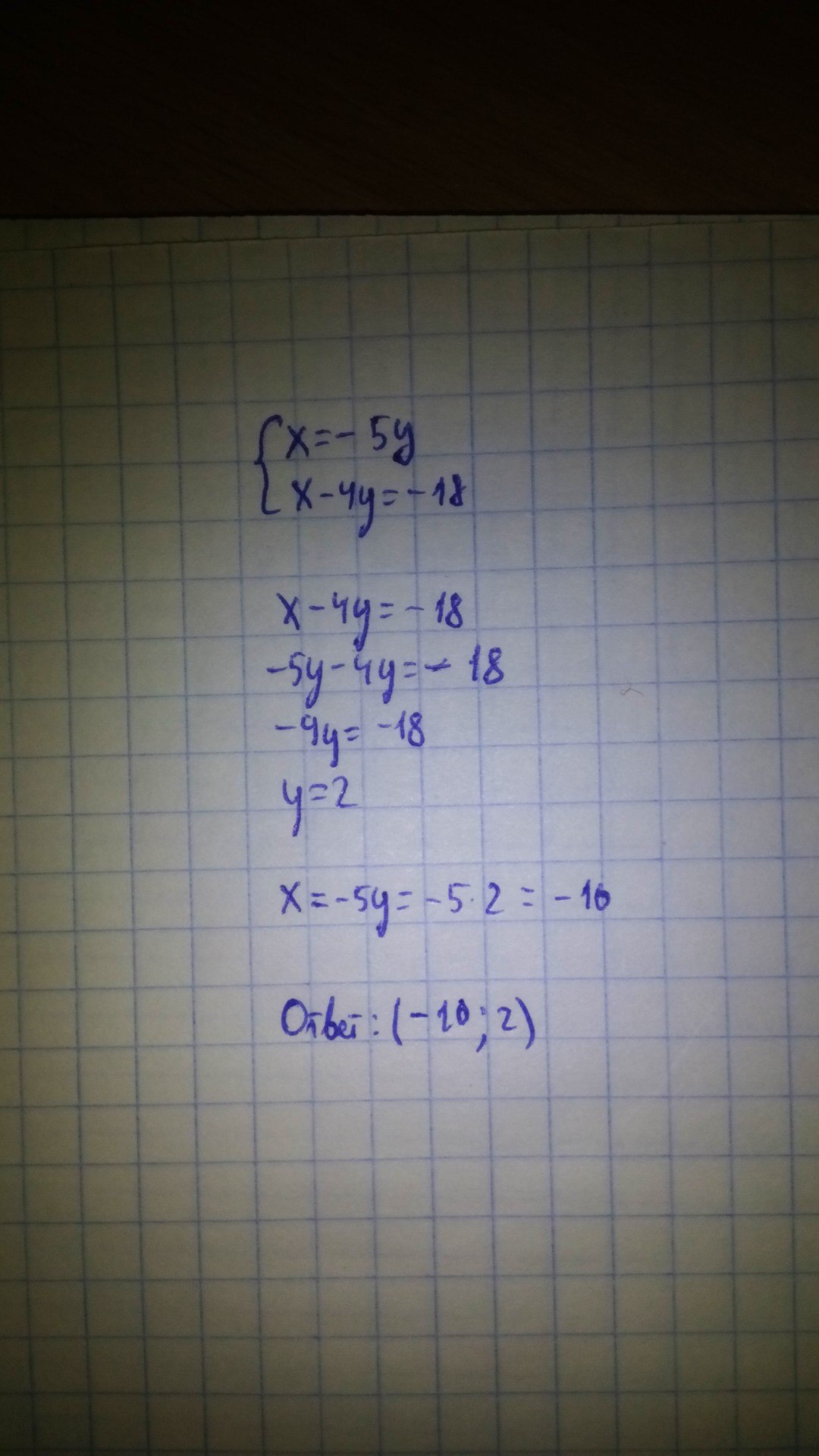
{x= -5y
{x-4y= -18
Подставим выражение (-5у) во второе уравнение вместо х :
-5у -4у = -18
-9у=-18
у= (-18): (-9)
у= 2
Подставим значение переменной х в первое уравнение:
х=-5 * 2 = -10
Проверим:
{-10= -5*2 ⇒ -10=-10
{-10 - 4*2 = -18 ⇒ -10-8 = -18 ⇒ -18=-18
Ответ: (-10; 2).
{4x+y=150
Подставим выражение 6х во второе уравнение вместо у:
4х +6х=150
10х=150
х= 150:10
х=15
Подставим значение переменной х в первое уравнение у=6х :
у= 6*15 = 90
Проверим:
{90 = 6*15 ⇒ 90=90
{4*15 + 90 = 150 ⇒ 60 +90 = 150 ⇒ 150=150
Ответ: (15; 90).
{x= -5y
{x-4y= -18
Подставим выражение (-5у) во второе уравнение вместо х :
-5у -4у = -18
-9у=-18
у= (-18): (-9)
у= 2
Подставим значение переменной х в первое уравнение:
х=-5 * 2 = -10
Проверим:
{-10= -5*2 ⇒ -10=-10
{-10 - 4*2 = -18 ⇒ -10-8 = -18 ⇒ -18=-18
Ответ: (-10; 2).
Приложения:


Вас заинтересует
7 лет назад
9 лет назад
10 лет назад
10 лет назад