• Предмет: Физика
  • Автор: Аноним
  • Вопрос задан 9 лет назад

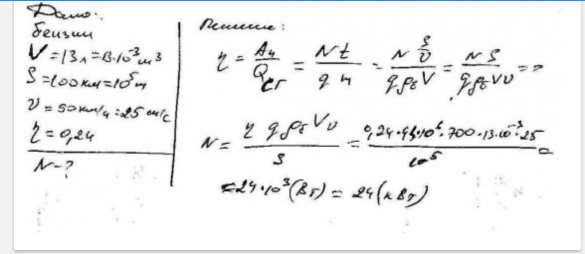
Автомобиль "Волга" расходует 13 л бензина на 100 км пути. опредилите развиваемую автомобилем мощност, если скорость его 90 км/ч, а КПД двигателя 0,24.

Ответы

Ответ дал: KotikEnotik228
0
Вроде так.. держи может поможет
Приложения:
Вас заинтересует