В равнобедренном треугольнике АВС с основанием АС боковая сторона АВ равна 32√3, а cos угла А=1/2. Найдите высоту, проведенную к основанию
Ответы
Ответ дал:
0
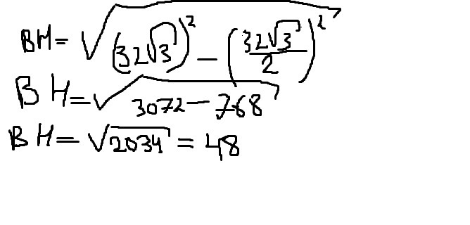
AH:AB=1:2
AH:32√3=1:2
AH=32√3:2
AH:32√3=1:2
AH=32√3:2
Приложения:


Ответ дал:
0
Решение в приложении.
Ответ: высота ВК= 48.
Ответ: высота ВК= 48.
Приложения:

Вас заинтересует
2 года назад
2 года назад
7 лет назад
9 лет назад
9 лет назад