Дам 100 баллов! 9 класс Нужно преобразовать срочно! У меня не получилось до красивого ответа. Найду ошибку - удалю. 100 баллов не хухры-мухры
Приложения:
Ответы
Ответ дал:
0
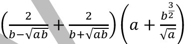
( 2/(b -√ab) + 2/(b+√ab) ) ( a+ (b^(3/2) /√a) )
= (2(b+√ab) +2(b-√ab)) / (b² - (√ab)² ) * ( (a^(3/2) +b^(3/2)) /√a)=
= ((2b +2√ab +2b -√ab ) / (b²-ab) ) * ((√a³ +√b³) /√a)
= 4b/ b(b-a) * ( (√a³ +√b³)/√a)=
= 4/(b-a) * ((√a³+√b³)/√a )=
= 4(√a³+√b³) / √a(b-a)
= (2(b+√ab) +2(b-√ab)) / (b² - (√ab)² ) * ( (a^(3/2) +b^(3/2)) /√a)=
= ((2b +2√ab +2b -√ab ) / (b²-ab) ) * ((√a³ +√b³) /√a)
= 4b/ b(b-a) * ( (√a³ +√b³)/√a)=
= 4/(b-a) * ((√a³+√b³)/√a )=
= 4(√a³+√b³) / √a(b-a)
Ответ дал:
0
тяжело читать так. Пишите в следующий раз, пожалуйста, нормально: с горизонтальной чертой дроби. а то в таком варианте трудно очень читать(а мне еще проверять)
Ответ дал:
0
Ок.
Ответ дал:
0
1)2/√b(√b-√a)+2/√b(√b+√a)=2(√b+√a+√b-√a)/√b(b-a)=4√b/√b(b-a)=4/(b-a)
2)a+b√b/√a=(a√a+b√b)/√a
3)4/(√b-√a)(√b+√a)*(√a+√b)(a-√(ab)+b)/√a=4(a-√(ab)+b)/(√(ab)-a)
2)a+b√b/√a=(a√a+b√b)/√a
3)4/(√b-√a)(√b+√a)*(√a+√b)(a-√(ab)+b)/√a=4(a-√(ab)+b)/(√(ab)-a)
Вас заинтересует
2 года назад
2 года назад
7 лет назад
10 лет назад
10 лет назад
10 лет назад