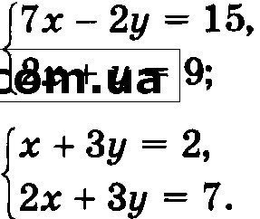
Решите систему уравнений методом постановки. Подробней, пожалуйста. Заранее, спасибо.
Приложения:

Ответы
Ответ дал:
0
Вас заинтересует
2 года назад
9 лет назад
9 лет назад
10 лет назад