• Предмет: Химия
  • Автор: paladin071
  • Вопрос задан 11 лет назад

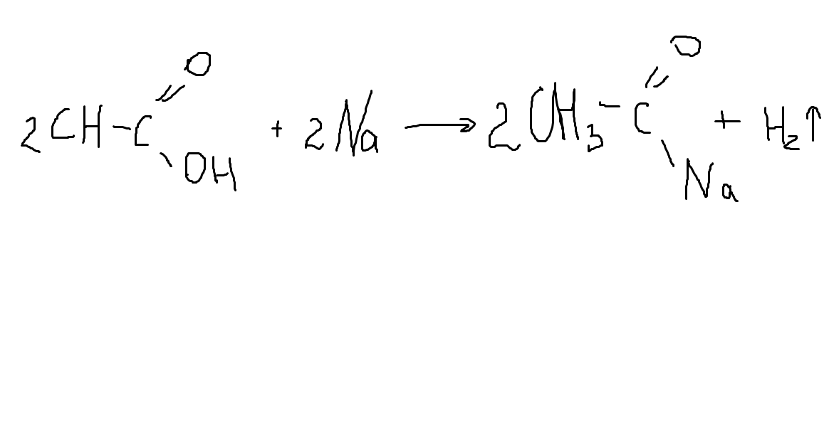
Найдите массу ацетата натрия, образующегося при взаимодействии 1,61 г натрия с уксусной кислотой

Ответы

Ответ дал: Гeний
0

ню (Na) = 1,61/23= 0,07

ню (Na)= ню(CH3CO2Na)= 0,07

m (CH3CO2Na) = 82 * 0,07= 5,74

Ответ: 5,74

 

Приложения:
Вас заинтересует