• Предмет: Алгебра
  • Автор: Julia0fox
  • Вопрос задан 9 лет назад

Решить неравенство на фото

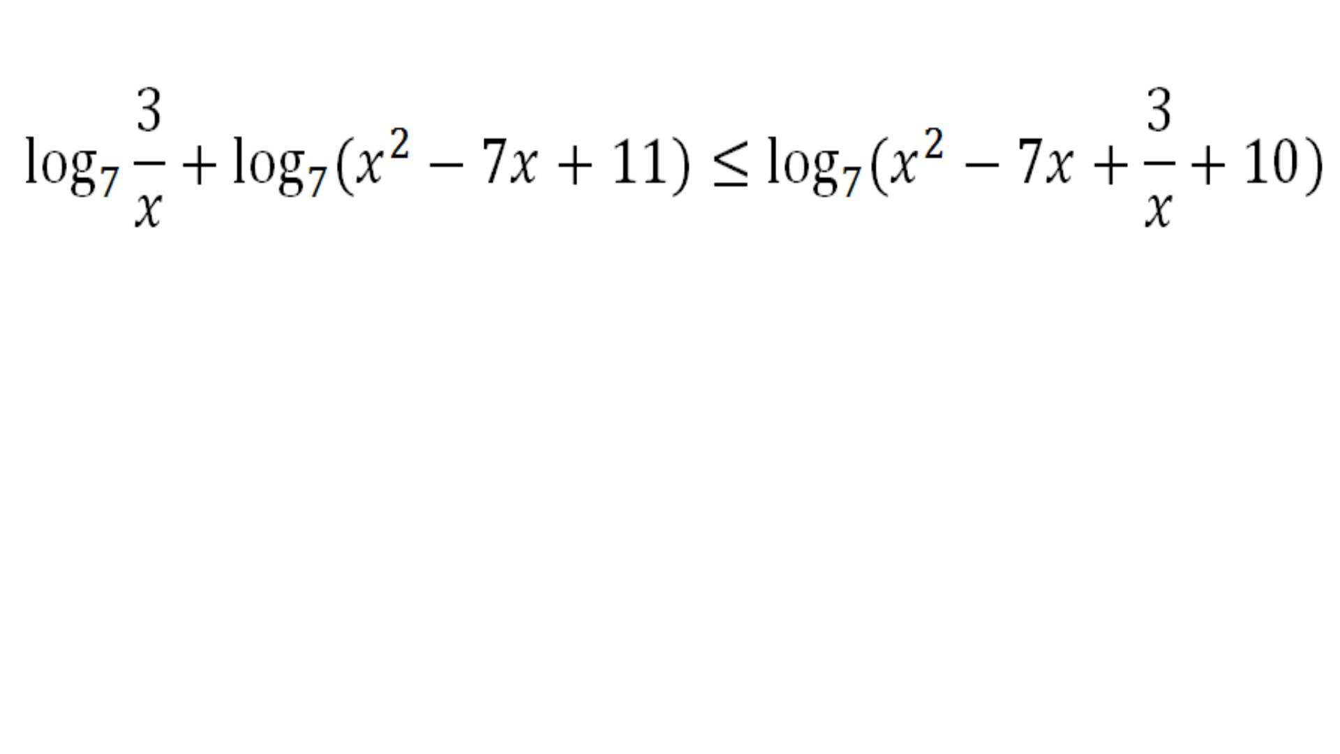
Приложения:

Ответы

Ответ дал: 90misha90
0
log_7(frac{3}{x})+log_7(x^2-7x+11) leq log_7(x^2-7x+frac{3}{x}+10)

left { {{log_7[frac{3}{x}*(x^2-7x+11)] leq log_7(x^2-7x+frac{3}{x}+10)} atop { frac{3}{x} textgreater  0,and,x^2-7x+11 textgreater  0 }} right.

left { {{frac{3}{x}*(x^2-7x+11) leq x^2-7x+frac{3}{x}+10} atop { x textgreater  0,and,x^2-7x+11 textgreater  0,and,x^2-7x+frac{3}{x}+10 textgreater  0}} right.

left { {{frac{3}{x}*(x^2-7x+10) leq x^2-7x+10} atop { x textgreater  0,and,(x-frac{7sqrt{5}}{2})(x+frac{7sqrt{5}}{2}) textgreater  0,and,(x-5)(x-2) textgreater  0}} right.

left { {{(frac{3}{x}-1)*(x-5)(x-2) leq 0} atop { x textgreater  0,and,(x-5)(x-2) textgreater  0}} right.

left { {{(x-3)(x-5)(x-2)  geq  0} atop { xin(0;2)cup(5;+infty)}} right.

left { {{xin[2;3]cup[5;+infty]} atop { xin(0;2)cup(5;+infty)}} right.

xin(5;+infty)

Ответ: (5;+infty)

комментарий:
по скольку должно выполнятся frac{3}{x} textgreater  0, то неравенство
x^2-7x+frac{3}{x}+10 textgreater  0 эквивалентно неравенству
x^2-7x+10 textgreater  0, которое эквивалентно неравенству
(x-5)(x-2) textgreater  0
Вас заинтересует