• Предмет: Математика
  • Автор: ingaaaaaaa1
  • Вопрос задан 9 лет назад

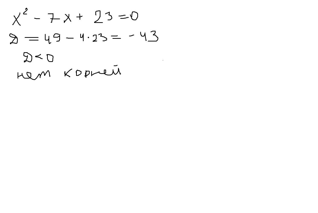
икс в кадрате минус 7 икс плюс 23=0

Ответы

Ответ дал: nurmahanbetol
0
решение на фото...............
Приложения:
Вас заинтересует