Помогитеееееееееееееееее!Очень прошуууууууууууууу! Только вариант ответа.решение не надо!!!!
Приложения:





Ответы
Ответ дал:
0
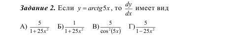
ответ Б
х=0
х=-0
думай сама
х=0
х=-0
думай сама
Вас заинтересует
2 года назад
7 лет назад
9 лет назад
9 лет назад
10 лет назад
10 лет назад