Ответы
Ответ дал:
0
дальше сама.....................
Приложения:

Ответ дал:
0
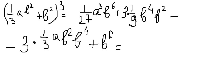
(b²*(1/3a+1))³=b⁶*(((1/3)а)³+3*((1/3)а)²*1+3*(1/3)а*1²+1³)=b⁶(a/27+a²/3+a+1)=
(ab⁶)/27+(a²b⁶)/3+ab⁶+b⁶
(ab⁶)/27+(a²b⁶)/3+ab⁶+b⁶
Приложения:

Ответ дал:
0
b^2 вынесем за скобку .чтобы не путаться с ним .потом поставим на место
Вас заинтересует
2 года назад
7 лет назад
7 лет назад
9 лет назад
9 лет назад
10 лет назад