Ответы
Ответ дал:
0
Вот, если что-то непонятно, то спрашивай)
Приложения:

Ответ дал:
0
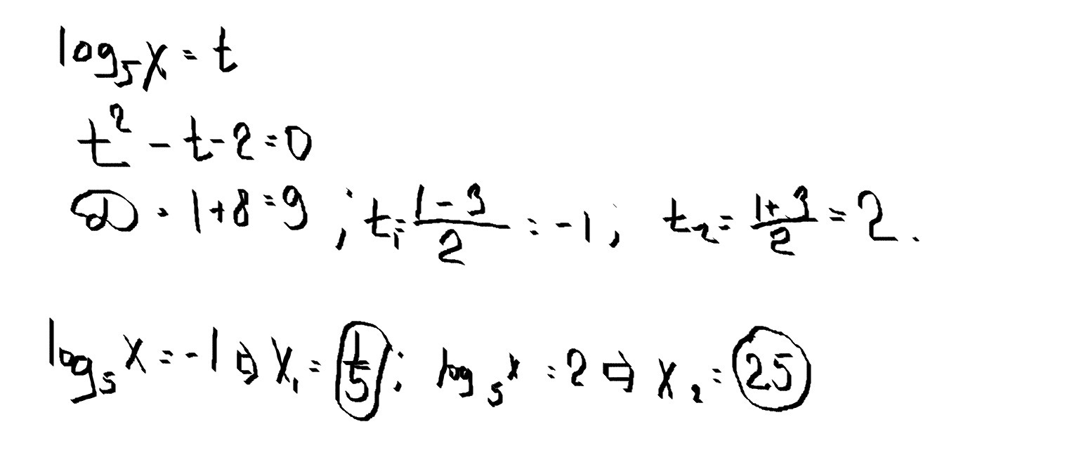
Да, нужно написать, но здесь ОДЗ роль не сыграет особо. Значения положительные получились
Вас заинтересует
2 года назад
7 лет назад
7 лет назад
9 лет назад
10 лет назад
10 лет назад