Помогите номер 126 (а,в).
В а у меня не получается тождественно равная правая часть!!
Приложения:

Ответы
Ответ дал:
0
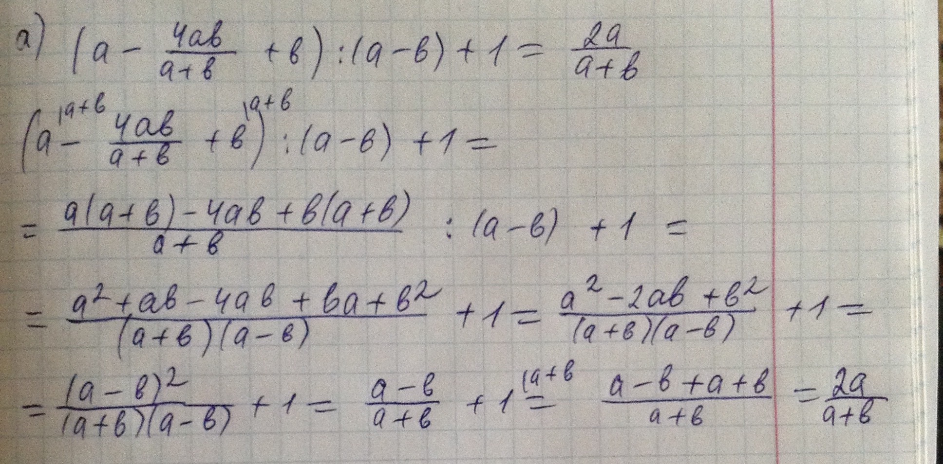
Номер 126. Доказать тождество. а)
Приложения:

Вас заинтересует
2 года назад
2 года назад
7 лет назад
9 лет назад