Ответы
Ответ дал:
0
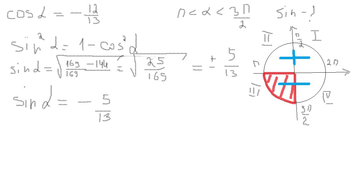
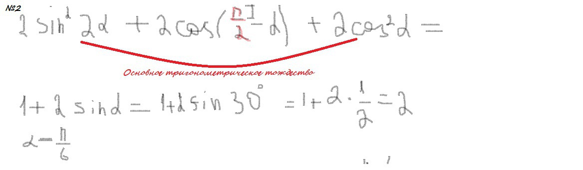
Первое и второе сделала, над третьим еще подумаю, попозже ответ скину, если получится из этого примера толк)
Приложения:


Вас заинтересует
2 года назад
2 года назад
7 лет назад
7 лет назад
9 лет назад
10 лет назад