• Предмет: Химия
  • Автор: Ibiza
  • Вопрос задан 11 лет назад

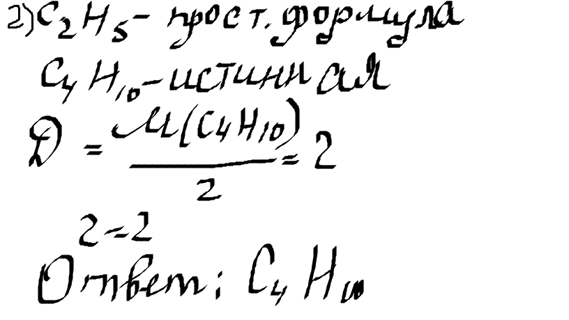
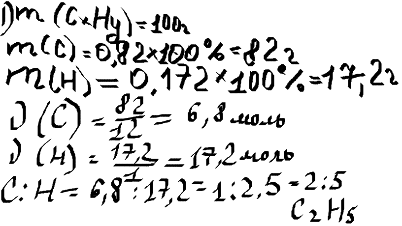
Массовые доли элементов в соединении составляют углерода 82,8 %, водорода 17,2 %. Относительная плотность паров этого вещества по водороду равна 29Ю Найти формулу этого соединения))) ПОМОгИТЕ)))

Ответы

Ответ дал: asvista
0

Решения во вложении,ответ C4H10

Приложения:
Вас заинтересует