60 Баллов!
Срочноо!! Помогите решить!! С решением подалуйста!
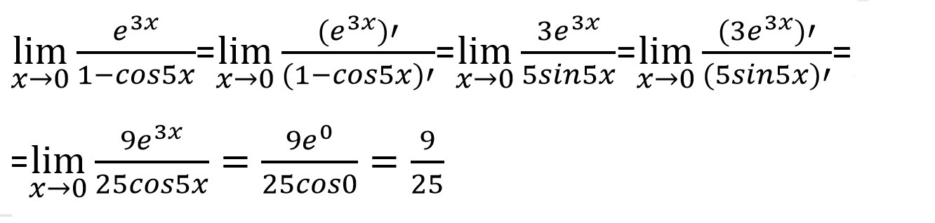
Найти указанные пределы,используя правило Лопиталя
lim e^3x/1-cos5x
x стремится к 0
Ответы
Ответ дал:
0
предел отношения функций равен пределу отношения их производных
короче, если в знаменателе получается 0, то отдельно находишь производную числителя и знаменателя и записываешь, и так делать до того, пока знаменатель не будет нормальным)
короче, если в знаменателе получается 0, то отдельно находишь производную числителя и знаменателя и записываешь, и так делать до того, пока знаменатель не будет нормальным)
Приложения:
Ответ дал:
0
Огромное Спасибо!!!
Вас заинтересует
3 года назад
3 года назад
7 лет назад
7 лет назад
10 лет назад
10 лет назад
10 лет назад