Приведите уравнениe
к виду ax²+bx+c=0
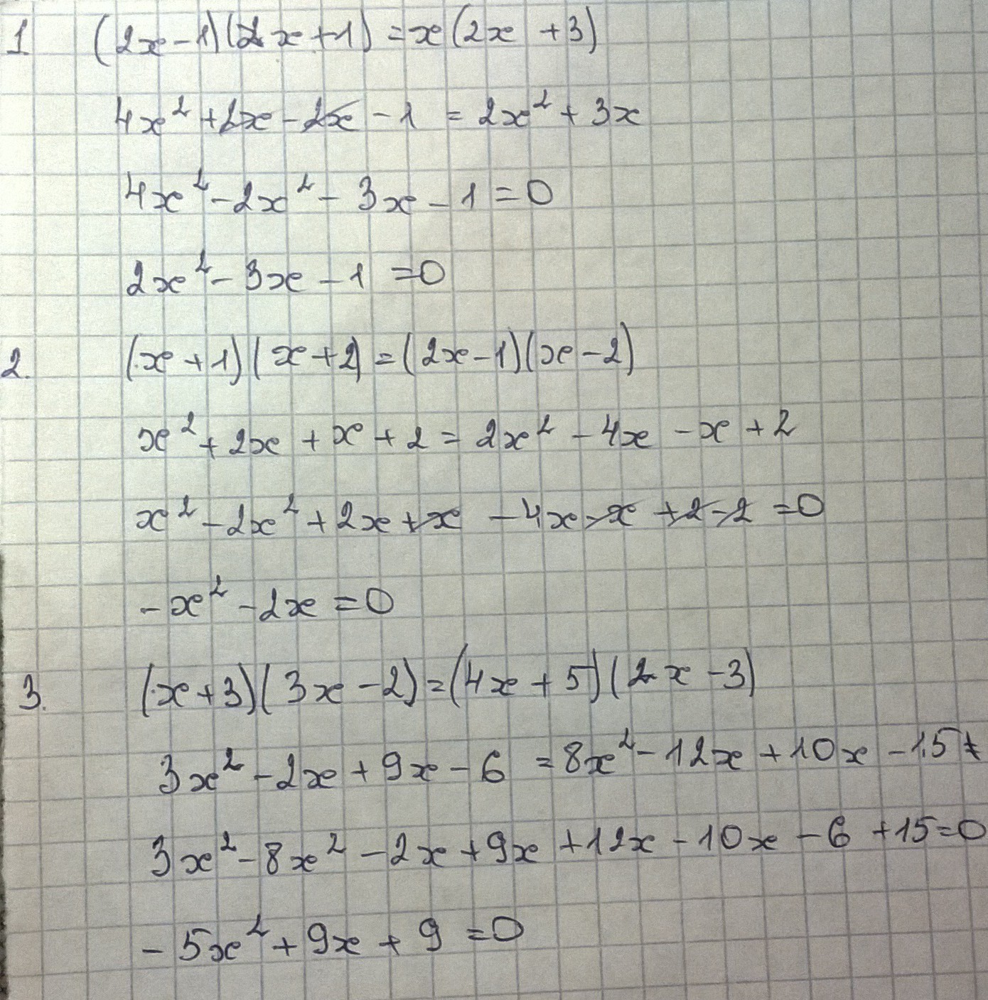
1)(2x-1)(2x+1)=x(2x+3)
2)(x+1)(x+2)=(2x-1)(x-2)
3)(x+3)(3x-2)=(4x+5)(2x-3)
Ответы
Ответ дал:
0
1)

---
2)

---
3)

---
2)
---
3)
Ответ дал:
0
Приведите уравнение к виду ax^2+bx+c=0:
Приложения:

Вас заинтересует
2 года назад
7 лет назад
9 лет назад
9 лет назад
10 лет назад