Ответы
Ответ дал:
0
Фамилия, во-первых, Атанасян, во-вторых, неужели сложно не то, что решить, а хотя бы сюда написать задачу?
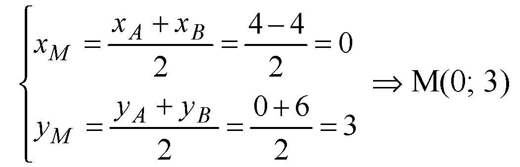
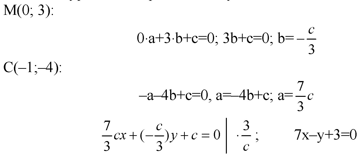
973. Даны координаты вершин треугольника ABC: А (4; 6), В (-4; 0), С (-1; -4). Напишите уравнение прямой, содержащей медиану СМ.
973. Даны координаты вершин треугольника ABC: А (4; 6), В (-4; 0), С (-1; -4). Напишите уравнение прямой, содержащей медиану СМ.
Приложения:



Ответ дал:
0
А я Незнаю
![left[begin{array}{ccc}1&2&3\4&5&6\7&8&9end{array}right] lim_{n to infty} a_n left[begin{array}{ccc}1&2&3\4&5&6\7&8&9end{array}right] lim_{n to infty} a_n](https://tex.z-dn.net/?f=++left%5Bbegin%7Barray%7D%7Bccc%7D1%26amp%3B2%26amp%3B3%5C4%26amp%3B5%26amp%3B6%5C7%26amp%3B8%26amp%3B9end%7Barray%7Dright%5D++lim_%7Bn+to+infty%7D+a_n+)
Приложения:



Вас заинтересует
2 года назад
7 лет назад
9 лет назад
9 лет назад