• Предмет: Алгебра
  • Автор: annastepanova1
  • Вопрос задан 9 лет назад

найти значения выражения

Приложения:

Ответы

Ответ дал: selenadior
0
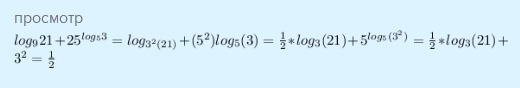
log_{9}21+25^{ log_{5} 3}= log_{3^{2} (21)}+(5^{2})log_{5}(3)=frac{1}{2}* log_{3}(21)+5^{log_{5}(3^{2})}=frac{1}{2}*log_{3}(21)+3^{2}= frac{1}{2}*log_{3}(21)+9
Приложения:
Ответ дал: annastepanova1
0
можешь сфоткать решение
Ответ дал: annastepanova1
0
да
Вас заинтересует