• Предмет: Математика
  • Автор: snikersni
  • Вопрос задан 9 лет назад

ПОМОГИТЕ ПОЖАЛУЙСТА!!!с решением.

Приложения:

Ответы

Ответ дал: kirillgrans
0
2)
1. -2;
 2. 5.
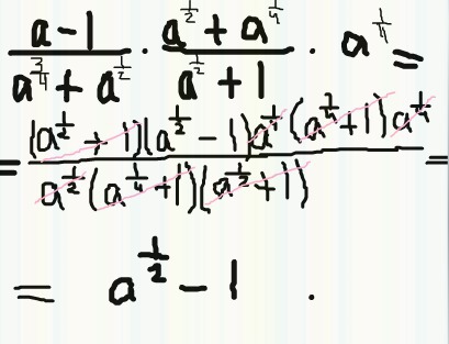
1) Решение на скрине:

Приложения:
Вас заинтересует