• Предмет: Математика
  • Автор: ЛизаГрачёва
  • Вопрос задан 9 лет назад

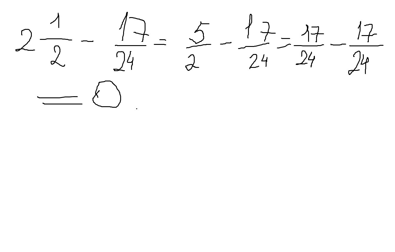
help!!!!! 2 1/2-17/24

Ответы

Ответ дал: milenasivan
0
надеюсь правильный)))))))
Приложения:
Ответ дал: ЛизаГрачёва
0
сори чувак но нет
Ответ дал: milenasivan
0
сам делай тогда
Вас заинтересует