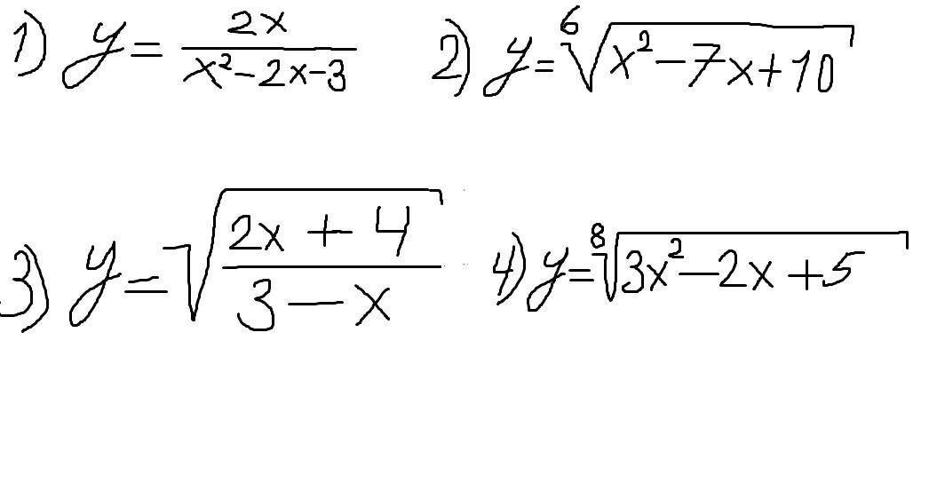
Кому не трудно, помогите пожалуйста решить области определения функций, отзовитесь ребята!
P.S. можете решение подробно записать и картинкой отправить. Заранее спасибо^^
Приложения:
Ответы
Ответ дал:
0
Ну, вообщем как могу!!!!!!!!
Приложения:
Вас заинтересует
2 года назад
2 года назад
7 лет назад
10 лет назад
10 лет назад
10 лет назад
10 лет назад