**СРОЧНО**
Помогите,пожалуйста!
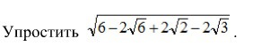
1. Упростить ↓
2. Найти, при каких значениях а система уравнений имеет четыре решения?↓
Приложения:
Ответы
Ответ дал:
0
Решал второго. ()()()()()())())(
Приложения:
Вас заинтересует
2 года назад
2 года назад
7 лет назад
7 лет назад
10 лет назад
10 лет назад
10 лет назад
10 лет назад