Ответы
Ответ дал:
0
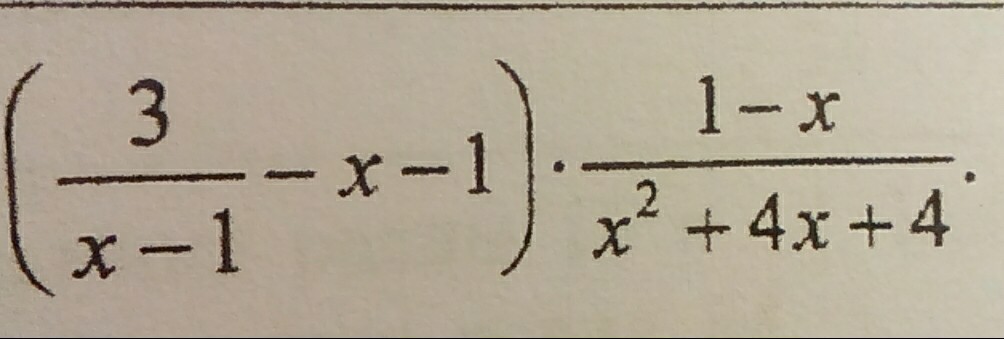
1) 3/( Х - 1 ) - Х - 1 = ( 3 - х( Х - 1 ) - ( Х - 1 )) / ( Х - 1 ) = ( 3 - х^2 + Х - Х + 1 ) / ( Х - 1 ) = ( - х^2 + 4 ) / ( Х - 1 ) = ( ( 2 - Х )( 2 + Х )) / ( Х - 1 )
2) х^2 + 4х + 4 = ( Х + 2 )^2
3) ( ( 2 - Х )( 2 + Х )) / ( Х - 1 ) • ( ( 1 - Х ) / ( Х + 2 )^2 ) = - ( 2 - Х ) / ( Х + 2 ) = ( Х - 2 ) / ( Х + 2 )
Ответ ( Х - 2 ) / ( Х + 2 )
2) х^2 + 4х + 4 = ( Х + 2 )^2
3) ( ( 2 - Х )( 2 + Х )) / ( Х - 1 ) • ( ( 1 - Х ) / ( Х + 2 )^2 ) = - ( 2 - Х ) / ( Х + 2 ) = ( Х - 2 ) / ( Х + 2 )
Ответ ( Х - 2 ) / ( Х + 2 )
Ответ дал:
0
Спасибо ОГРОМНЕЙШЕЕ!!! Вы просто Бог математики :D
Вас заинтересует
2 года назад
2 года назад
7 лет назад
7 лет назад
10 лет назад
10 лет назад
10 лет назад