• Предмет: Алгебра
  • Автор: sofiagoodpen
  • Вопрос задан 9 лет назад

2813 упражнение решите пожайлуста даю 65 балов сума хорошенькая

Приложения:

Ответы

Ответ дал: Regent1828
0
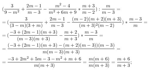
displaystyle(frac{3}{9-m^{2}}+frac{2m-1}{m-3}-frac{m^{2}-4}{m^{2}+6m+9}}*frac{m+3}{m-2}):frac{m}{m-3}=\\=(frac{3}{(3-m)(3+m)}+frac{2m-1}{m-3}-frac{(m-2)(m+2)(m+3)}{(m+3)^{2}(m-2)})*frac{m-3}{m}=\\=(frac{-3+(2m-1)(m+3)}{(m-3)(m+3)}-frac{m+2}{m+3})*frac{m-3}{m}=\\=frac{(-3+(2m-1)(m+3)-(m+2)(m-3))(m-3)}{m(m-3)(m+3)}=\\= frac{-3+2m^{2}+5m-3-m^{2}+m+6}{m(m+3)}= frac{m(m+6)}{m(m+3)}= frac{m+6}{m+3};
Приложения:
Ответ дал: ВладимирБ
0
Решение смотри в приложении
Приложения:
Ответ дал: sofiagoodpen
0
у тебя красивый почерк
Вас заинтересует