• Предмет: Геометрия
  • Автор: Necrosoo
  • Вопрос задан 9 лет назад

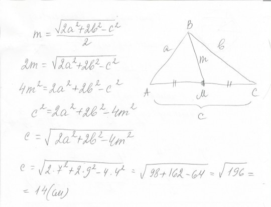
У трикутника дві сторони дорівнюють 7 см і 9 см .Медіана , проведена до третьої сторони , дорівнює 7 см .Знайти третю сторону .

Ответы

Ответ дал: Солнышко955
0
Вот решение))))))))))))))))))))))))))))))))))))))))))))))))))))))

Приложения:
Вас заинтересует